Analista Judiciário – Área: Apoio Especializado – Especialidade: Estatística - 2024
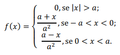
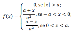
Considere uma variável aleatória contínua X cuja função densidade de probabilidade, f(x), seja dada por
Considere também que uma variável aleatória U[m, n] tenha distribuição uniforme no intervalo [m, n].
Com base nessa situação hipotética, julgue o próximo item.
X pode ser gerada como a média de duas variáveis uniformes U [−a, a] independentes.
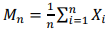
Considerando que X1,X2,…, Xn seja uma sequência de variáveis aleatórias independentes e identicamente distribuídas com E[XI] = µ < ∞, que o operador P() retorna a probabilidade do seu argumento e que
, julgue o item subsequente.
Se a variância das Xi for não limitada, então, a lei fraca, a lei forte e o teorema central do limite não serão aplicáveis a Mn.
Considere uma amostra aleatória de tamanho n de variáveis aleatórias contínuas, Xi, independentes e identicamente distribuídas, com média µ e variância V finitas e desconhecidas. Considere, ainda, Mx e S2 como a média e a variância amostral, respectivamente. Considere, por fim, que Yi = I(Xi < b), com b fixo, em que a função I será igual a 1 se a condição do argumento for verdadeira e igual a 0, se for falsa.
Tendo como referência as informações apresentadas, julgue o item que se segue.
A distribuição amostral de
é normal com média p = P(X < b) e variância p(1 − p)/n para qualquer valor de n.
Considere uma amostra aleatória de tamanho n de variáveis aleatórias contínuas, Xi, independentes e identicamente distribuídas, com média µ e variância V finitas e desconhecidas. Considere, ainda, Mx e S2 como a média e a variância amostral, respectivamente. Considere, por fim, que Yi = I(Xi < b), com b fixo, em que a função I será igual a 1 se a condição do argumento for verdadeira e igual a 0, se for falsa.
Tendo como referência as informações apresentadas, julgue o item que se segue.
Se a distribuição das variáveis aleatórias for normal, então a distribuição amostral de
seguirá uma distribuição T com n − 1 graus de liberdade.
Considere uma amostra aleatória de tamanho n de variáveis aleatórias contínuas, Xi, independentes e identicamente distribuídas, com média µ e variância V finitas e desconhecidas. Considere, ainda, Mx e S2 como a média e a variância amostral, respectivamente. Considere, por fim, que Yi = I(Xi < b), com b fixo, em que a função I será igual a 1 se a condição do argumento for verdadeira e igual a 0, se for falsa.
Tendo como referência as informações apresentadas, julgue o item que se segue.
A soma das variáveis aleatórias Yi terá uma distribuição binomial.
Considere uma amostra aleatória de tamanho n de variáveis aleatórias contínuas, Xi, independentes e identicamente distribuídas, com média µ e variância V finitas e desconhecidas. Considere, ainda, Mx e S2 como a média e a variância amostral, respectivamente. Considere, por fim, que Yi = I(Xi < b), com b fixo, em que a função I será igual a 1 se a condição do argumento for verdadeira e igual a 0, se for falsa.
Tendo como referência as informações apresentadas, julgue o item que se segue.
Se a distribuição das variáveis aleatórias X for normal, então a distribuição amostral de (n − 1)(S2/V) seguirá uma distribuição qui-quadrado com n − 1 graus de liberdade.
Considere uma amostra aleatória de tamanho n de variáveis aleatórias contínuas, Xi, independentes e identicamente distribuídas, com média µ e variância V finitas e desconhecidas. Considere, ainda, Mx e S2 como a média e a variância amostral, respectivamente. Considere, por fim, que Yi = I(Xi < b), com b fixo, em que a função I será igual a 1 se a condição do argumento for verdadeira e igual a 0, se for falsa.
Tendo como referência as informações apresentadas, julgue o item que se segue.
Se a distribuição das variáveis aleatórias X for desconhecida, então a distribuição da média amostral será normal com média µ e variância V / n.
Uma amostra aleatória simples de tamanho n > 1 é retirada de uma distribuição exponencial com média µ; tal amostra é representada pelo conjunto {W1,…, Wn} constituído por n variáveis aleatórias independentes e identicamente distribuídas.
Tendo como referência as informações precedentes, julgue o próximo item.
Para n suficientemente grande, a estatística
segue aproximadamente uma distribuição normal.






