Oficial Bombeiro Militar - 2023
O texto a seguir é referência para a questão.
Em todas as questões, as medições são feitas por um referencial inercial. O módulo da aceleração gravitacional é representado por g. Onde for necessário, use g = 10 m/s2 para o módulo da aceleração gravitacional.
A medição de grandezas físicas envolve o uso de unidades que sejam apropriadas a essas grandezas. Uma dada grandeza pode ser descrita por mais de uma unidade, de acordo com a situação envolvendo essa grandeza. Considerando essas informações, assinale a alternativa que apresenta corretamente uma unidade utilizada para medidas de tempo.
O texto a seguir é referência para a questão.
Em todas as questões, as medições são feitas por um referencial inercial. O módulo da aceleração gravitacional é representado por g. Onde for necessário, use g = 10 m/s2 para o módulo da aceleração gravitacional.
Um dado objeto, de massa m constante, descreve uma curva circular de raio R 1 com uma velocidade tangencial de intensidade constante v 1. Para fazer isso, ele necessita de uma força centrípeta de intensidade F 1. O mesmo objeto é colocado agora numa outra curva circular, de raio R 2, com velocidade tangencial de intensidade constante v 2, e necessita agora de uma força centrípeta de intensidade F 2 para executar o movimento. Considerando que v 2 = 2 v 1 e que R 2 = 2 R 1, assinale a alternativa que apresenta corretamente o valor da razão F 2/ F 1 entre as intensidades das forças centrípetas necessárias para a execução dos movimentos.
O texto a seguir é referência para a questão.
Em todas as questões, as medições são feitas por um referencial inercial. O módulo da aceleração gravitacional é representado por g. Onde for necessário, use g = 10 m/s2 para o módulo da aceleração gravitacional.
Deseja-se produzir uma onda sonora num dado meio onde a velocidade do som vale v = 350m/s. A frequência f dessa onda sonora deve ser f = 50kHz. Considerando as informações apresentadas, assinale a alternativa que apresenta corretamente o valor do comprimento de onda λ dessa onda.
O texto a seguir é referência para a questão.
Em todas as questões, as medições são feitas por um referencial inercial. O módulo da aceleração gravitacional é representado por g. Onde for necessário, use g = 10 m/s2 para o módulo da aceleração gravitacional.
Um dado objeto de massa constante m = 300 g está a uma temperatura T 0 = 30 ºC. Seu calor específico vale c = 0,4 J/g.ºC. Esse objeto passa por um processo termodinâmico que retira uma dada quantidade de calor Q , de modo que o objeto chega à temperatura T = 10 ºC sem sofrer mudanças de estado físico. Em todo esse processo, seu calor específico é considerado constante. Considerando as informações apresentadas, assinale a alternativa que apresenta corretamente o valor da quantidade de calor Q retirada do objeto durante o processo.
O texto a seguir é referência para a questão.
Em todas as questões, as medições são feitas por um referencial inercial. O módulo da aceleração gravitacional é representado por g. Onde for necessário, use g = 10 m/s2 para o módulo da aceleração gravitacional.
Uma partícula contendo uma carga Q = 1,6 x 10-19 C entra numa região onde há um campo magnético de intensidade B = 1,0 T com uma velocidade de módulo v. Sobre ela, passa a agir uma força magnética de intensidade F = 3,2 x 10-16 N. O ângulo entre os vetores velocidade e campo magnético vale θ, e sabe-se que cos θ = √3/2 e sen θ = 1/2. Considerando as informações apresentadas, assinale a alternativa que apresenta corretamente o valor do módulo v da velocidade da partícula.
O texto a seguir é referência para a questão.
Em todas as questões, as medições são feitas por um referencial inercial. O módulo da aceleração gravitacional é representado por g. Onde for necessário, use g = 10 m/s2 para o módulo da aceleração gravitacional.
Uma plataforma plana horizontal tem uma área A . Sobre ela, é colocado um objeto de massa m constante, que fica estático no local, sujeito apenas à força gravitacional e à força exercida pela plataforma. As forças envolvidas no problema são todas orientadas perpendicularmente à plataforma. O objeto exerce uma pressão de valor P = 2,0 x 104 Pa sobre a plataforma, e a massa do objeto vale m = 600 g. Considerando as informações apresentadas, assinale a alternativa que apresenta corretamente o valor da área A da plataforma.
O texto a seguir é referência para a questão.
Em todas as questões, as medições são feitas por um referencial inercial. O módulo da aceleração gravitacional é representado por g. Onde for necessário, use g = 10 m/s2 para o módulo da aceleração gravitacional.
Uma certa massa de gás ideal está num estado termodinâmico em que a pressão vale P 0, o volume vale V 0, e a temperatura vale T 0. Essa massa de gás sofre um processo termodinâmico, e o volume passa a ser V , a pressão passa a ser P , e a temperatura passa a ser T . Sabe-se que P = 4 P 0 e T = 2 T 0 . Considerando as informações apresentadas, assinale a alternativa que apresenta corretamente o valor do volume V em função do volume V 0.
O texto a seguir é referência para a questão.
Em todas as questões, as medições são feitas por um referencial inercial. O módulo da aceleração gravitacional é representado por g. Onde for necessário, use g = 10 m/s2 para o módulo da aceleração gravitacional.
Um objeto de massa m constante move-se num movimento retilíneo uniformemente variado unidimensional descrito pela equação x = -3 + 5 t + 2 t 2 , em que x é a posição do objeto, medida em quilômetros, e t é o tempo, medido em horas. Considerando as informações apresentadas, assinale a alternativa que apresenta corretamente o valor da aceleração a do objeto nesse movimento.
O Transtorno de Déficit de Atenção e Hiperatividade (TDAH) se caracteriza pela combinação de sintomas de desatenção e hiperatividade-impulsividade, de acordo com a Associação Brasileira do Déficit de Atenção (ABDA). Esse tipo de transtorno tem tratamento multimodal – relacionado à combinação de mais de um tipo de intervenção. Um dos medicamentos associados a esse tratamento é o metilfenidato, princípio ativo que tem a estrutura química apresentada na figura ao lado.
Considerando a estrutura química apresentada, assinale a alternativa correta.

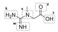
A creatina é um composto produzido a partir de alguns aminoácidos (glicina, arginina, metionina) e é um suplemento recomendado para o aumento da força e da massa muscular. Sua estrutura química é apresentada a seguir:

Em pH = 11,0, qual átomo estará carregado negativamente, formando uma espécie química iônica?