Assistente em Administração - 2023
Dentre as facilidades de operações com arquivos, o sistema operacional Ubuntu possui uma ferramenta para permitir realizar uma cópia de segurança (backup) e posterior restauração do conteúdo do disco rígido, em caso de eventuais defeitos no computador.
Considere as afirmativas a seguir relacionadas à ferramenta de backup do Ubuntu, atribuindo V para a(s) verdadeira(s) e F para a(s) falsa(s).
( ) A ferramenta de backup, por padrão, não oferece a possibilidade de efetuar a cópia de segurança dos programas instalados.
( ) A ferramenta backup deve ser usada para restaurar uma pasta de um usuário, com o computador desconectado da rede local.
( ) Na restauração dos dados do backup, é possível selecionar uma pasta específica dentre as que foram copiadas, com os dados restaurados, necessariamente, para a mesma pasta original.
( ) O destino preferencial de uma cópia de segurança deve ser o próprio disco rígido, em uma partição diferente daquela onde estão os dados copiados.
Assinale a sequência CORRETA:
Considere uma instalação padrão do sistema operacional Ubuntu, em um computador de mesa (desktop) conectado a uma rede local e à Internet.
Em relação à instalação de programas nesse computador, assinale a afirmativa INCORRETA:
Considere as afirmativas abaixo sobre as funções de data e hora do LibreOffice Calc, atribuindo V para as verdadeiras e F para as falsas.
( ) A função AGORA
( ) retorna o horário atual.
( ) A função HOJE
( ) retorna a data atual.
( ) A função DIA
( ) retorna o dia de uma data.
( ) A função DIAS
( ) retorna o número de dias entre duas datas.
( ) A função DATADIF
( ) calcula o número de dias inteiros, meses ou anos entre duas datas.
( ) A função DIA.DA.SEMANA
( ) retorna o nome do dia da semana de uma data.
A sequência CORRETA é:
Considere as afirmativas abaixo a respeito da geração de gráficos no LibreOffice Calc, atribuindo V para as verdadeiras e F para as falsas.
( ) Gráficos de pizza são adequados para indicar proporções em relação a um valor total.
( ) O gráfico de bolhas é uma variação de um gráfico de rede no qual os pontos de dados são substituídos por bolhas e uma dimensão adicional dos dados é representada no tamanho dessas bolhas.
( ) As linhas de tendência nos gráficos são usadas para exibir graficamente tendências em dados e analisar problemas de previsão. Essas linhas também podem auxiliar na identificação de valores discrepantes dessas tendências.
( ) Durante a criação de gráficos pelo Assistente de Gráficos, não é possível editar o intervalo de dados já selecionado previamente na planilha.
( ) A série de dados inserida em uma planilha que será exibida em um gráfico precisa estar disposta em uma linha ou em uma coluna e a primeira linha e/ou coluna podem ou não ser rótulos do gráfico.
( ) Na etapa de elementos do gráfico no Assistente de Gráficos, é impossível deslocar ou remover a legenda do gráfico, sendo esta, uma parte fundamental da representação visual.
A sequência CORRETA é:
Considere as afirmativas a seguir, a respeito de algumas das funções existentes no LibreOffice Calc.
I A função ALEATÓRIOENTRE retorna, como resultado, um número qualquer no intervalo entre os dois valores informados como parâmetros, incluindo os mesmos.
II A função MED retorna a média de um intervalo de células, informado como parâmetro e que representa uma amostra estatística.
III A função QUOCIENTE calcula o valor da parte inteira da divisão dos valores presentes nas células informadas como parâmetro.
Está CORRETO o que se afirma apenas em:
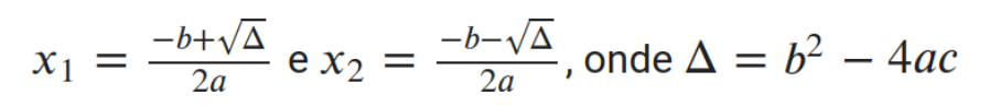
Responda a QUESTÃO, a respeito das fórmulas e do trecho de planilha apresentados a seguir:
As fórmulas apresentadas refletem os conhecidos passos para se encontrar as soluções de uma equação do segundo grau, ou fórmulas de Bhaskara. Considere que se deseja determinar os valores x1 e x2 a partir de dados (a, b e c), preenchidos em células de uma planilha, que tem um trecho conforme ilustrado a seguir.
Os valores de a, b e c (nas células A2, B2 e C2, respectivamente) são de preenchimento manual, enquanto os valores delta, x1 e x2 (nas células D2, E2 e F2, respectivamente) são de preenchimento automático, calculados a partir dos três primeiros e conforme as fórmulas acima.
A alternativa que apresenta CORRETAMENTE, a fórmula que produz o preenchimento da célula E2 é:
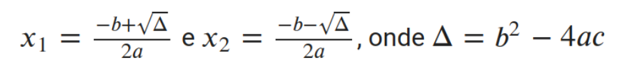
Responda a QUESTÃO, a respeito das fórmulas e do trecho de planilha apresentados a seguir:
As fórmulas apresentadas refletem os conhecidos passos para se encontrar as soluções de uma equação do segundo grau, ou fórmulas de Bhaskara. Considere que se deseja determinar os valores x1 e x2 a partir de dados (a, b e c), preenchidos em células de uma planilha, que tem um trecho conforme ilustrado a seguir.
Os valores de a, b e c (nas células A2, B2 e C2, respectivamente) são de preenchimento manual, enquanto os valores delta, x1 e x2 (nas células D2, E2 e F2, respectivamente) são de preenchimento automático, calculados a partir dos três primeiros e conforme as fórmulas acima.
O cálculo da fórmula da célula E2 só pode ser feito quando delta for maior ou igual a zero (Δ≥0). Assumindo que o trecho indicado com (…) represente o cálculo correto da resposta anterior, marque a alternativa que apresenta CORRETAMENTE a introdução da verificação de delta na fórmula da célula E2:
Sobre a ferramenta on-line Google Agenda, assinale a afirmativa INCORRETA: (Para fins de padronização, considere o acesso à ferramenta via Web, por meio de um navegador.)
Considere o seguinte trecho de planilha do LibreOffice Calc:
Esse trecho representa um pequeno relatório de vendas de produtos de uma empresa. Tal empresa tem um programa de descontos que, mensalmente, é aplicado para os clientes que são cadastrados no programa e compram mais de 50 (cinquenta) itens de uma seleção de produtos.
Ao elaborar o relatório, o funcionário que o confeccionou inseriu uma fórmula na célula D2 e usou a alça de preenchimento para propagar os resultados até a célula D6.
Assinale a alternativa que apresenta CORRETAMENTE a fórmula que, se utilizada na célula D2, preencheria os valores das células da coluna D, após o uso da alça de preenchimento:
Sobre a integração entre ferramentas de produtividade on-line do Google, assinale a afirmativa INCORRETA: (Para fins de padronização, considere o acesso à ferramenta via Web, por meio de um navegador.)




