Advogado - 2023
Com base nas informações acima apresentadas, julgue o item. Mais de 85% dos jogos disputados por Zico em clubes profissionais foram pelo Flamengo.
Com base nas informações acima apresentadas, julgue o item. O número de gols que Zico marcou pelo Kashima Antlers tem 8 divisores naturais.
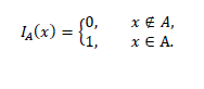
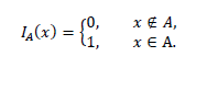
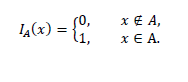
Considerando as definições acima apresentadas, julgue o item. O conjunto formado pelos possíveis valores assumidos por IA ( x ), em que A é um conjunto qualquer, é {0, 1}.
No que se refere à lógica proposicional, julgue o item. “Red Hot Chili Peppers é a maior banda de funk rock de todos os tempos!” é uma proposição.
No que se refere à lógica proposicional, julgue o item. A sentença “ x = 2.023” é uma proposição.
No que se refere à lógica proposicional, julgue o item. A sentença “5 + 5 = 5 se, e somente se, 10 + 10 = 10” é verdadeira.






