Papiloscopista Policial - 2015
Acerca das características que diferem células eucarióticas de células procarióticas, é correto afirmar que
No que se refere aos componentes do citoesqueleto, uma complexa rede de proteínas que compõe o “esqueleto” celular, assinale a alternativa correta.
Com relação aos compostos químicos e às biomoléculas que fazem parte da composição química da célula, assinale a alternativa correta.
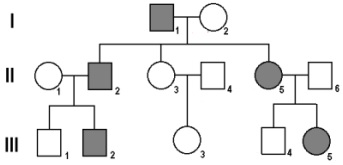
As anomalias cromossômicas podem ser tanto numéricas quanto estruturais, afetando cromossomos sexuais, um ou mais autossomos ou, em alguns casos, os dois tipos de cromossomos. Acerca desse assunto, assinale a alternativa correta.
Um rapaz fixou uma corda de nylon, estreita e flexível, entre duas árvores. Ao andar sobre a corda esticada, ele se desequilibrou e pulou. Nesse momento, uma onda se propagou nessa corda com a seguinte equação:
y = 0,4sen (π/3 x - 3πt).
Com base nesse caso hipotético e considerando que as constantes numéricas da equação acima estão no Sistema Internacional (SI) de medidas, assinale a alternativa correta.
Para mostrar a função e a forma como resistores podem ser arranjados dentro de um circuito elétrico, um instrutor do laboratório de perícia papiloscópica montou o circuito ilustrado abaixo. Após uma análise desse circuito, o instrutor solicitou aos estudantes que determinassem a resistência equivalente da combinação mostrada.

Com base nesse caso hipotético e no circuito ilustrado, assinale a alternativa que apresenta o valor da resistência equivalente.
Em um apartamento de Brasília houve um princípio de incêndio que começou na cozinha. Os donos do imóvel relataram a um policial civil que ligaram muitos aparelhos elétricos ao mesmo tempo nas tomadas da cozinha. Os aparelhos eram uma cafeteira elétrica com 1.300 W de potência, um forno micro-ondas com 1.000 W de potência e uma fritadeira elétrica com 5.500 W de potência. O policial civil constatou que a cozinha tinha apenas um circuito elétrico e, portanto, apenas um fusível de 25 A.
Com base nesse caso hipotético, considerando que a tensão elétrica doméstica em Brasília é igual a 220 V e desprezando o fato de a tensão não pertencer a um sistema elétrico de correntes contínuas, assinale a alternativa correta.
Com relação à polarização da luz, assinale a alternativa correta.

