Economista - 2010
Uma economia é caracterizada pelos seguintes dados:
•Função consumo: C= 10 + 0,8(Y(1–t)), onde Y é o PIB e t a alíquota do imposto. • Gastos do governo iguais a 50 e um imposto t = 25%. • Um investimento de 30. • As importações são função da renda doméstica: M = mY, onde m = 0,1. • As exportações são iguais a 10.
Com base nos dados, analise as afirmativas abaixo:
I. As exportações líquidas são iguais a –10. II. O PIB dessa economia é de 200. III. O consumo das famílias é de 130.
Assinale
Analise as afirmativas abaixo:
I. O superávit primário é igual à receita total do governo menos as despesas correntes totais do governo. II. A diferença entre o déficit nominal e o déficit operacional é a correção monetária e cambial da dívida. III. Para elevar a arrecadação, basta o governo elevar a alíquota do imposto. Assinale
Analise as seguintes alternativas:
I. O Valor Presente Líquido é o resultado final de todas as receitas e despesas de um projeto, com uma taxa de desconto de 10%, taxa que garante a lucratividade do projeto. II. O Valor Presente Líquido de um projeto não deve ser comparado com o VPL de outro projeto, pois cada projeto possui as suas singularidades. III. Se o Valor Presente Líquido de um projeto é positivo a uma taxa de desconto de 8%, a Taxa Interna de Retorno será maior que 8%.
Assinale
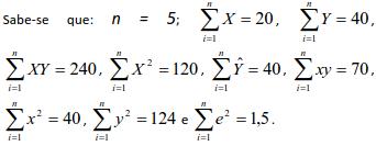
Seja o seguinte modelo autorregressivo:
Com as informações acima, analise as seguintes afirmativas:
I. Os parâmetros α e β podem ser estimados de forma não viesada com a utilização de mínimos quadrados ordinários. II. Caso Y t = 2 + 0,5 Y t-1 + u t; E [ Y t] = 4. III. A série é estacionária caso β > 1.
Assinale
A demanda pelo produto A ( QDA ) foi estimada em função dos preços do produto A ( PA ), da renda ( W ), do preço do produto B ( PB ) e do preço do produto C( PC ), segundo a equação abaixo:
In ( QDA ) = α + β 1 In( W ) + β 2 In( PA ) + β 3 n ( PB ) + β 4 ( PC )
Os resultados dessa estimação são reportados na tabela abaixo:
Com base no resultados da estimação acima, não se pode rejeitar a hipótese de que:
I. o bem A seja um bem inferior, visto que sua elasticidade é inferior a 1; II. o bem B seja um bem substituto ao bem A; III. o bem C seja um bem complementar ao bem A.
Analise os itens acima e assinale
Sobre o modelo de crescimento de Solow, analise as seguintes afirmativas:
I. No longo prazo, o produto per capita cresce a uma taxa igual à soma da taxa de crescimento populacional com a taxa de progresso tecnológico. II. Países mais pobres sempre crescem mais rápido que países ricos. III. Ceteris paribus , países com uma maior taxa de poupança apresentam um produto de estado estacionário maior.
Assinale
O mercado de trabalho de uma economia é caracterizado da seguinte forma:
A oferta de trabalho é igual a L s = 10 + ( w/p ) e a demanda por trabalho é determinada por Ld = 100 - 5 ( w/p ).
O produto é determinado em função da quantidade de trabalho da seguinte forma: Y = F (L) = 20 L - 0,1 L 2.
Analise as seguintes alternativas:
I. O produto dessa economia é igual a 437,5. II. A introdução de um salário mínimo real de 10 [ ( w/p)min = 10 ] eleva o produto dessa economia. A introdução de um imposto de 60% sobre a folha de pagamentos reduz o salário de equilíbrio para [ ( w/p ) = 10 ] .
Assinale
Analise as seguintes afirmativas:
I. No curto prazo, com rigidez de preços, os deslocamentos na demanda agregada causam somente flutuações nos preços. II. A curva de Phillips representa o trade-off entre inflação e desemprego. III. No longo prazo, os deslocamentos da demanda agregada afetam a produção, mas não o nível geral de preços.
Assinale











