Analista - Gestão e Análise Processual - 2013
Acerca do Sistema Financeiro Nacional e do Sistema de Pagamentos Brasileiro (SPB), julgue os itens subsecutivos.
O Sistema de Transferência de Reservas é um sistema de transferência de fundos híbrido, pois reúne características dos sistemas de liquidação diferida com compensação de obrigações e dos sistemas de liquidação bruta em tempo real.
Acerca do Sistema Financeiro Nacional e do Sistema de Pagamentos Brasileiro (SPB), julgue os itens subsecutivos.
Entre as funções do BACEN, o monopólio de emissão envolve o meio circulante e destina-se a satisfazer a demanda de dinheiro necessária para atender à atividade econômica. Nesse sentido, a emissão de moeda ocorre quando a Casa da Moeda do Brasil entrega papel-moeda para o BACEN.
Acerca do Sistema Financeiro Nacional e do Sistema de Pagamentos Brasileiro (SPB), julgue os itens subsecutivos.
Em conformidade com a lei que o instituiu, o Conselho Monetário Nacional será presidido pelo ministro da Fazenda, e as suas deliberações terão de ocorrer por maioria de votos, com a presença de, no mínimo, seis membros, cabendo ao presidente o voto de qualidade.
Acerca do Sistema Financeiro Nacional e do Sistema de Pagamentos Brasileiro (SPB), julgue os itens subsecutivos.
No SPB, atualmente, qualquer transferência de fundos entre contas de reservas bancárias é condicionada à existência de saldo suficiente na conta do emitente da ordem.
Acerca do Sistema Financeiro Nacional e do Sistema de Pagamentos Brasileiro (SPB), julgue os itens subsecutivos.
O papel dos bancos comerciais é captar recursos, particularmente sob as formas de depósitos à vista e poupança, e fornecer crédito para pessoas físicas e jurídicas, ao passo que os bancos cooperativos e cooperativas de crédito estão voltados para a concessão de crédito e prestação de serviços bancários aos cooperados, que muitas vezes são produtores rurais.
Considerando que, na economia acima descrita, vija um regime no qual o governo controla a quantidade de moeda e que o estoque de capital seja constante ao longo do tempo, julgue os itens seguintes.
O modelo em questão é do tipo clássico, no sentido que o mercado de trabalho está sempre em equilíbrio, aplicando-se a ele a proposição da dicotomia clássica.
Considerando que, na economia acima descrita, vija um regime no qual o governo controla a quantidade de moeda e que o estoque de capital seja constante ao longo do tempo, julgue os itens seguintes.
O aumento da quantidade de moeda desloca para a direita a curva de equilíbrio monetário, o que proporciona redução da taxa de juros, aumento do produto e do emprego e redução do salário real.
Considerando que, na economia acima descrita, vija um regime no qual o governo controla a quantidade de moeda e que o estoque de capital seja constante ao longo do tempo, julgue os itens seguintes.
A função oferta agregada da economia, considerando-se o estoque de capital constante, dK = 0, é dada por
dp = p/w dw - p FN /FNK dY,
em que di representa o diferencial da variável i.
Considerando que, na economia acima descrita, vija um regime no qual o governo controla a quantidade de moeda e que o estoque de capital seja constante ao longo do tempo, julgue os itens seguintes.
O aumento do salário nominal (dw > 0) gera o aumento do nível geral de renda (dy > 0), em decorrência do aumento da demanda agregada.
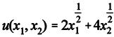
Considerando que o problema do consumidor seja resolvido por meio da função utilidade
julgue os itens a seguir. Nesse sentido, as demandas marshallianas dos bens 1 e 2, xi (p1, p2, w), em que p1 é o preço do bem 1, p2 é o preço do bem 2 e w é a riqueza do consumidor.
A demanda do consumidor pelo bem 1 é dada por





