Analista - Gestão e Análise Processual - 2013
A respeito do ato e do negócio jurídico, da prescrição e das relações de parentesco, julgue os itens que se seguem.
O enteado, por ser parente por afinidade, somente poderá requerer alimentos do padrasto se nenhum outro parente consanguíneo lhe puder prestar o auxílio.
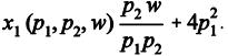
Considerando que o problema do consumidor seja resolvido por meio da função utilidade
julgue os itens a seguir. Nesse sentido, as demandas marshallianas dos bens 1 e 2, xi (p1, p2, w), em que p1 é o preço do bem 1, p2 é o preço do bem 2 e w é a riqueza do consumidor.
A demanda do consumidor pelo bem 2 é dada por
No que se refere à linguagem, à tipologia textual, às ideias e aos aspectos gramaticais do texto ao lado — Teoria do Medalhão, de Machado de Assis —, julgue os itens de 1 a 7.
Sendo os substantivos que compõem a enumeração entre as linhas 6 e 7 núcleos do complemento da forma verbal “entrar” (L.6), seria mantida a correção gramatical do texto caso a combinação da preposição em com o artigo o fosse empregada apenas no primeiro núcleo — “no parlamento” —, sendo suprimida nos demais núcleos.
Julgue o item que segue de acordo com o Manual de Redação da Presidência da República.
A formalidade, entre outros aspectos, vincula-se à uniformidade das comunicações, o que implica o estabelecimento de um padrão de redação oficial. Nesse caso, no que se refere a documentos de tramitação interna, vale o preceito de se registrar o teor do documento, no expediente do texto, em “Assunto”, com a palavra escrita em fonte regular, em negrito, sem a necessidade, portanto, do desenvolvimento do texto em parágrafos.
Julgue o item que segue de acordo com o Manual de Redação da Presidência da República.
Em todos os expedientes oficiais, a autoridade signatária deve ser identificada por meio do nome, do cargo e da assinatura.
Recent corporate collapses, such as EBS International and Société Générale, have brought about renewed scrutiny into corporate governance mechanisms. Given the pervasiveness of Information Technology (IT) in many organizations, the examination of corporate governance mechanisms also includes IT governance mechanisms. IT governance is defined as “a structure of relationships and processes to direct and control the enterprise in order to achieve the enterprise’s goals by adding value while balancing risk versus return over IT and its processes”.
In light of increased public awareness, professional bodies such as the Information Systems Audit and Control Association (ISACA) have undertaken a number of steps to provide guidance in the implementation of effective IT governance. The approach taken by ISACA appears to be largely based upon two concepts. The first concept relates to increasing the awareness of issues and concepts relating to IT governance in the public domain. The second concept involves the provision of guidelines and the identification of best-practice IT governance mechanisms. Interestingly, the effectiveness of these best-practice mechanisms in improving IT governance is largely based upon conceptual arguments. As such, it becomes important to ascertain if these best-practice mechanisms do impact upon the level of IT governance.
As IT escalates in terms of importance and pervasiveness in the operations of firms, it is inexorably tied to specific mechanisms that are prescribed for good corporate governance, most notably, a sound system of internal controls. Accordingly, effective IT governance is a critical underpinning for a system of good corporate governance that minimizes agency losses for a firm.
Internet: < http://onlinelibrary.wiley.com > (adapted).
Based on the text above, judge the following item.
Although considerable research has been devoted to IT governance, rather less attention has been paid to corporate governance mechanisms.
Recent corporate collapses, such as EBS International and Société Générale, have brought about renewed scrutiny into corporate governance mechanisms. Given the pervasiveness of Information Technology (IT) in many organizations, the examination of corporate governance mechanisms also includes IT governance mechanisms. IT governance is defined as “a structure of relationships and processes to direct and control the enterprise in order to achieve the enterprise’s goals by adding value while balancing risk versus return over IT and its processes”.
In light of increased public awareness, professional bodies such as the Information Systems Audit and Control Association (ISACA) have undertaken a number of steps to provide guidance in the implementation of effective IT governance. The approach taken by ISACA appears to be largely based upon two concepts. The first concept relates to increasing the awareness of issues and concepts relating to IT governance in the public domain. The second concept involves the provision of guidelines and the identification of best-practice IT governance mechanisms. Interestingly, the effectiveness of these best-practice mechanisms in improving IT governance is largely based upon conceptual arguments. As such, it becomes important to ascertain if these best-practice mechanisms do impact upon the level of IT governance.
As IT escalates in terms of importance and pervasiveness in the operations of firms, it is inexorably tied to specific mechanisms that are prescribed for good corporate governance, most notably, a sound system of internal controls. Accordingly, effective IT governance is a critical underpinning for a system of good corporate governance that minimizes agency losses for a firm.
Internet: < http://onlinelibrary.wiley.com > (adapted).
Based on the text above, judge the following item.
The Information Systems Audit and Control Association have advised against a number of steps concerning the implementation of effective IT governance.
Recent corporate collapses, such as EBS International and Société Générale, have brought about renewed scrutiny into corporate governance mechanisms. Given the pervasiveness of Information Technology (IT) in many organizations, the examination of corporate governance mechanisms also includes IT governance mechanisms. IT governance is defined as “a structure of relationships and processes to direct and control the enterprise in order to achieve the enterprise’s goals by adding value while balancing risk versus return over IT and its processes”.
In light of increased public awareness, professional bodies such as the Information Systems Audit and Control Association (ISACA) have undertaken a number of steps to provide guidance in the implementation of effective IT governance. The approach taken by ISACA appears to be largely based upon two concepts. The first concept relates to increasing the awareness of issues and concepts relating to IT governance in the public domain. The second concept involves the provision of guidelines and the identification of best-practice IT governance mechanisms. Interestingly, the effectiveness of these best-practice mechanisms in improving IT governance is largely based upon conceptual arguments. As such, it becomes important to ascertain if these best-practice mechanisms do impact upon the level of IT governance.
As IT escalates in terms of importance and pervasiveness in the operations of firms, it is inexorably tied to specific mechanisms that are prescribed for good corporate governance, most notably, a sound system of internal controls. Accordingly, effective IT governance is a critical underpinning for a system of good corporate governance that minimizes agency losses for a firm.
Internet: < http://onlinelibrary.wiley.com > (adapted).
Based on the text above, judge the following item.
IT governance mechanisms contribute toward an increased level of overall effective IT governance.
Recent corporate collapses, such as EBS International and Société Générale, have brought about renewed scrutiny into corporate governance mechanisms. Given the pervasiveness of Information Technology (IT) in many organizations, the examination of corporate governance mechanisms also includes IT governance mechanisms. IT governance is defined as “a structure of relationships and processes to direct and control the enterprise in order to achieve the enterprise’s goals by adding value while balancing risk versus return over IT and its processes”.
In light of increased public awareness, professional bodies such as the Information Systems Audit and Control Association (ISACA) have undertaken a number of steps to provide guidance in the implementation of effective IT governance. The approach taken by ISACA appears to be largely based upon two concepts. The first concept relates to increasing the awareness of issues and concepts relating to IT governance in the public domain. The second concept involves the provision of guidelines and the identification of best-practice IT governance mechanisms. Interestingly, the effectiveness of these best-practice mechanisms in improving IT governance is largely based upon conceptual arguments. As such, it becomes important to ascertain if these best-practice mechanisms do impact upon the level of IT governance.
As IT escalates in terms of importance and pervasiveness in the operations of firms, it is inexorably tied to specific mechanisms that are prescribed for good corporate governance, most notably, a sound system of internal controls. Accordingly, effective IT governance is a critical underpinning for a system of good corporate governance that minimizes agency losses for a firm.
Internet: < http://onlinelibrary.wiley.com > (adapted).
Based on the text above, judge the following item.
In spite of the pervasiveness of IT in many organizations, it is essential for enterprises to balance risks and detect fraud.



