Escrivão de Polícia Civil - 2021
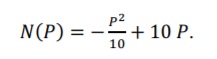
Dos 3.250 candidatos inscritos em um concurso público com 160 vagas e apenas a aplicação de uma prova objetiva, 1,6% não compareceram para realizar a prova. Com base em eventos anteriores, os organizadores do certame conseguiram modelar o número N de candidatos que acertam o percentual P de questões da prova objetiva pela função
Com base nessas informações, julgue o item que se segue.
De acordo com o modelo estabelecido, a quantidade de candidatos que acertará 80% das questões da prova objetiva é igual ao número de vagas oferecidas.
Dos 3.250 candidatos inscritos em um concurso público com 160 vagas e apenas a aplicação de uma prova objetiva, 1,6% não compareceram para realizar a prova. Com base em eventos anteriores, os organizadores do certame conseguiram modelar o número N de candidatos que acertam o percentual P de questões da prova objetiva pela função
N(P) = -P2/10 + 10P.
Com base nessas informações, julgue o item que se segue.
Considerando-se apenas os candidatos que compareceram à prova objetiva, verifica-se que a concorrência do concurso foi superior a 20 candidatos por vaga.
Em uma loteria estadual, a aposta mínima permitida é de R$ 2, a máxima é de R$ 50 e o prêmio pago ao acertador é igual a 10 vezes o valor apostado. Um apostador iniciou apostando o valor mínimo e, não tendo sido contemplado, fez novas apostas, aumentando, a cada aposta, R$ 2 no valor da aposta anterior.
Com base nessas informações, julgue o próximo item.
Se o jogador não tiver acertado nenhuma aposta, ele terá jogado 25 vezes ao apostar o valor máximo permitido.
Em uma loteria estadual, a aposta mínima permitida é de R$ 2, a máxima é de R$ 50 e o prêmio pago ao acertador é igual a 10 vezes o valor apostado. Um apostador iniciou apostando o valor mínimo e, não tendo sido contemplado, fez novas apostas, aumentando, a cada aposta, R$ 2 no valor da aposta anterior.
Com base nessas informações, julgue o próximo item.
Se o jogador vinha sempre errando suas apostas, mas acertou na décima aposta, o valor do prêmio recebido supera o valor total apostado em mais de R$ 100.
Com relação a estruturas lógicas, lógica de argumentação e lógica proposicional, julgue o item subsequente.
A proposição “Se Paulo está mentindo, então Maria não está mentindo” é equivalente à proposição “Se Maria está mentindo, então Paulo não está mentindo”.
Com relação a estruturas lógicas, lógica de argumentação e lógica proposicional, julgue o item subsequente.
A proposição [p Ʌ q] -> [p V (~q)], em que (~q) denota a negação da proposição q, só apresenta resultado verdadeiro quando a proposição p for verdadeira e a proposição q for falsa.
Com relação a estruturas lógicas, lógica de argumentação e lógica proposicional, julgue o item subsequente.
A negação da proposição “Todos são iguais perante a lei” é “Todos são diferentes perante a lei”.
No item a seguir, é apresentada uma situação hipotética seguida de uma assertiva a ser julgada.
Seis pessoas devem se reunir em uma mesa redonda, mas duas delas não podem se sentar uma ao lado da outra. Nessa situação, a quantidade de maneiras distintas de essas seis pessoas sentarem em torno dessa mesa é superior a 400.
No item a seguir, é apresentada uma situação hipotética seguida de uma assertiva a ser julgada.
No processo de investigação de um crime, os suspeitos foram separados em três grupos, conforme mostra a tabela a seguir.
Os grupos A e C têm elemento em comum e todos os indivíduos do grupo B também estão no grupo C. Nessa situação, é correto concluir que A e B têm algum elemento em comum
No item a seguir, é apresentada uma situação hipotética seguida de uma assertiva a ser julgada.
Um foragido da justiça, que gostava de se exibir perante seus comparsas e conhecia um pouco de matemática, ligou para a polícia e passou as seguintes informações: “em 30 minutos, eu estarei na rua Alfa, em uma casa, do lado direito da rua, cujo número tem as seguintes características: é inferior a 1.000, o algarismo das centenas é igual ao número de diagonais de um retângulo e, além disso, a parte do número formada só pelos algarismos das dezenas e das unidades é múltiplo de 7”. Uma viatura foi deslocada para o intervalo de casas da rua Alfa correspondente ao algarismo das centenas revelado. Lá chegando, os policiais verificaram que, nesse trecho da rua Alfa, os números das casas tinham as seguintes características: os algarismos das dezenas e das unidades começavam de 01 e de uma casa para a próxima eram acrescentadas 8 unidades. Nessa situação, o número da casa informado pelo foragido é inferior a 250.

