Escrivão de Polícia Civil - 2022
Assinale a alternativa que apresenta uma afirmação logicamente equivalente à seguinte afirmação:
‘Ameaça chuva e saio com capa ou, ameaça chuva e saio com guarda-chuva’
Considere as afirmações:
I. Se Ana é delegada, então Bruno é escrivão.
II. Se Carlos é investigador, então Bruno não é escrivão.
III. Se Denise é papiloscopista, então Eliane é perita criminal.
IV. Se Eliane é perita criminal, então Carlos é investigador.
V. Denise é papiloscopista.
A partir dessas afirmações, é correto concluir que
Assinale a alternativa que apresenta uma negação lógica da seguinte afirmação:
‘Se o indivíduo é um contraventor, então não resta esperança para ele’
A sequência numérica: 1000, 900, 801, 703, 606, 510, …, foi criada com um padrão. O número 92 não faz parte dessa sequência. O número da sequência que é mais próximo do número 92 ocupa, na sequência, a posição de número
Considere N, P, Q, R e T afirmações simples para as afirmações compostas apresentadas a seguir. Considere também o valor lógico atribuído a cada uma das afirmações compostas.
I. Se N, então P. Esta é uma afirmação FALSA.
II. Se Q, então R. Esta é uma afirmação FALSA.
III. Se P, então T. Esta é uma afirmação VERDADEIRA.
A partir dessas informações, é correto concluir que
A seguir estão os seis primeiros termos de uma sequência cíclica desses seis termos, infinita, em que cada termo é um quadriculado com uma bolinha.
Identifique os termos das posições de número 32, 47 e 64. Se as bolinhas desses termos fossem colocadas em um único quadriculado, nas respectivas posições em que ocorrem, o quadriculado resultante seria
Assinale a alternativa que apresenta uma afirmação logicamente equivalente à seguinte afirmação:
‘Se os catadores coletaram todas as latinhas, então a sacola arrebenta ou fica pesada’
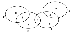
Para abrilhantar uma festa na empresa, inscreveram-se 122 pessoas. As habilidades necessárias para a inscrição eram: saber cantar, tocar algum instrumento musical, saber dançar. Cinco pessoas disseram que tinham as 3 habilidades. Um número x de pessoas declarou ter apenas uma dessas habilidades, isto em cada uma delas. Declararam possuírem duas e apenas duas habilidades um número y de pessoas, isto em cada par de habilidades. Sabendo que x é exatamente o dobro de y, o número de pessoas que dizem que sabem cantar ou dançar é igual a
Para realizar um treinamento, as pessoas envolvidas foram separadas em 4 grupos distintos: K com 9 participantes, L com 13 participantes, M com 12 participantes e N com 15 participantes. Os participantes dos grupos K e L, ficaram reunidos juntos na sala 1, e o mesmo aconteceu com os participantes dos grupos M e N na sala 2. Será retirada, aleatoriamente, certa quantidade de pessoas da sala 1, de modo a se ter certeza de que, pelo menos, duas dessas pessoas sejam do grupo L. Será também retirada, da sala 2, certa quantidade de pessoas, de modo a se ter certeza de que, pelo menos, três dessas pessoas sejam do grupo N. Sendo assim, o número total de pessoas a serem retiradas das duas salas será igual a

