Economista - 2017
Tomando como base o Modelo IS-LM, considere as seguintes afirmativas. I- Uma situação de Armadilha de Liquidez ocorre quando se tem a curva LM vertical, denotando que a demanda por moeda é infinitamente elástica em relação à taxa de juros. II- Uma política fiscal expansionista provoca inicialmente uma ampliação na renda e na taxa de juros. Caso o Banco Central deseje a manutenção no nível de renda para, por exemplo, manter também estáveis os níveis de preços, poderá promover uma política monetária contracionista, implicando na estabilidade da renda, bem como em uma grande ampliação da taxa de juros. III- Quanto maior a elasticidade da Demanda por moeda em relação à Renda, menor a inclinação da Curva LM e quanto maior a elasticidade da Demanda por moeda em relação a taxa de juros, maior a inclinação. IV- Acurva lS representa combinações de preço e renda que equilibram o mercado de bens. V- No caso de uma pequena economia aberta, com perfeita mobilidade de capitais e câmbio flutuante, uma política fiscal expansionista desloca inicialmente a IS para direita, denotando uma ampliação na taxa de juros, que por sua vez faz com que haja uma maior procura por moeda nacional, gerando processo de valorização desta. Tal fato, ao tornar o produto nacional mais caro em relação ao estrangeiro, implica em menor demanda e um novo deslocamento da IS, agora para a esquerda, até que esta curva volte a sua posição original e elimine a pressão que gerou sobre a entrada de capitais no mercado cambial. Está CORRETO o que se afirma apenas em
Na sequência, são expostas algumas proposições sobre a Teoria Keynesiana. Analise-as de modo a julgá-las como Verdadeiras (V) ou Falsas (F) ( ) Adecisão de investimento se baseia na chamada Eficiência Marginal do Capital, que consiste na taxa de desconto que iguala o fluxo de receitas que se espera obter ao custo do investimento. ( ) Apropensão marginal a consumir é o elemento de maior estabilidade na demanda pelo fato desta não depender de variações na renda. ( ) Os trabalhadores barganhavam salários reais e não nominal, conforme preconizavam os pressupostos clássicos. ( ) O nível de emprego é determinado no ponto de interseção entre oferta agregada e demanda agregada, onde se estabelece o nível de produção e a demanda efetiva do trabalho. A sequência CORRETA é
“A política macroeconômica refere-se ao conjunto de medidas adotadas pelo Governo visando afetar agregados econômicos, como crescimento da economia, inflação, taxa de desemprego, balanço de pagamentos e distribuição de renda” (Ministério da Fazenda). Sobre política econômica brasileira, está CORRETO o que se afirma em:
Atente à seguinte situação hipotética: Um indivíduo possui a seguinte função utilidade: U (x1 , x2 ) = x1 x2 e restrição orçamentária: x1 +2x2 = 10. A alternativa que expressa as quantidades dos bens x1 e x2 que maximizam a utilidade desse consumidor é
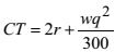
A função de Custo Total (CT) dos produtores de feijão de uma dada localidade é a seguinte:
Onde: (CT) o Custo Total;
( r ) a remuneração do capital;
(w) a remuneração do trabalho
(q) o nível de produção.
A função de Demanda do mercado de feijão é:
Qd = 7.000 - 4.000 P
P é o preço de mercado. Considerando que este seja um mercado de concorrência perfeita e que existam 100 firmas atuando na venda do feijão ao mesmo nível de preços e com um valor da remuneração do trabalho de 5 unidades monetárias por jornada.
Apartir das informações apresentadas acima, o preço e a quantidade que equilibram esse mercado são, respectivamente,
No que diz respeito às funções do Estado, aos objetivos da política fiscal e do déficit público, julgue as afirmativas abaixo relacionadas e, em seguida, responda ao que se pede. I- Necessidade de financiamento do setor público (NFSP) ou Resultado Nominal consiste na diferença entre as receitas totais agregadas, incluindo aplicações financeiras e as despesas totais, nas quais também se incluem pagamento de juros, em um dado período de tempo. II- O método de consolidação dos resultados fiscais do setor público “acima da linha” corresponde à variação da dívida líquida total, interna ou externa. III- No que diz respeito ao papel do Estado na atividade econômica, o setor público deve cumprir, fundamentalmente, as três seguintes funções: distributiva, fiscalizadora e estabilizadora. IV- O déficit operacional consiste na diferença entre gastos públicos e arrecadação tributária no exercício, excluindo juros e correções da dívida passada. Está CORRETO o que se afirma apenas em
Sobre os princípios gerais da tributação, é CORRETO apenas o que se afirma em:
Sobre o processo de industrialização brasileiro e o debate acerca do desenvolvimentismo cepalino, julgue as afirmativas abaixo, identificando a opção CORRETA.

