Perito Criminal Federal - Área 14 - 2018
Tendo como referência essas informações e o texto 11A2AAA, apresentado anteriormente, julgue o item subsecutivo.
A molécula de amônia tem estrutura trigonal planar.
Tendo como referência essas informações e o texto 11A2AAA, apresentado anteriormente, julgue o item subsecutivo.
A reação direta representada nessa figura é uma reação de saponificação.
Tendo como referência essas informações e o texto 11A2AAA, apresentado anteriormente, julgue o item subsecutivo.
A adição dos ácidos HCl ou H2SO4 aumentaria a constante da lei de velocidade da reação do poliálcool representada na figura.
Tendo como referência essas informações e o texto 11A2AAA, apresentado anteriormente, julgue o item subsecutivo.
A água é um dos produtos da reação de formação de triglicerídeos.
Tendo como referência essas informações e o texto 11A2AAA, apresentado anteriormente, julgue o item subsecutivo.
Se a reação na lipogênese estiver em equilíbrio, as taxas (velocidade) da reação de formação e de hidrólise do triglicerídeo (espécie C da reação) são iguais a zero.
No que se refere a enzimas e termodinâmica química, julgue o item que segue.
A enzima de uma reação metabólica exotérmica é uma molécula termogênica.
No que se refere a enzimas e termodinâmica química, julgue o item que segue.
Se, em um ciclo metabólico, o fluxo de energia estiver corretamente descrito pelo ciclo termodinâmico representado a seguir, então, a quantidade de calor liberada por um organismo que completa um ciclo exatamente, retornando ao seu estado inicial, é diferente da quantidade de calor absorvida.
Diagrama de pressão versus volume
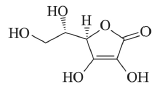
Vitamina C (ou ácido ascórbico), antitérmicos e soro fisiológico são produtos químicos utilizados como medicamentos de uso cotidiano. O ácido ascórbico é empregado na conservação de alimentos e também no combate ao escorbuto. Sua estrutura molecular é apresentada na seguinte figura.
Alguns medicamentos analgésicos que também são antitérmicos têm como princípios ativos o ácido acetilsalicílico e a cafeína. Apesar de esses dois princípios ativos apresentarem bandas sobrepostas nos espectros de emissão e excitação, sua análise quantitativa em fármacos é viável por meio da regressão de mínimos quadrados parciais (PLS – Partial Least Squares). Comparado ao método quantitativo, em que os compostos são separados e pesados individualmente para a determinação do teor de cada um na amostra, o método PLS oferece economia de tempo, reagentes e recursos financeiros.
O soro fisiológico, por sua vez, é uma solução isotônica em relação aos líquidos corporais humanos, na qual o NaCl está dissolvido em água.
Considerando as informações apresentadas, julgue o item seguinte.
O ácido ascórbico apresenta atividade ótica.
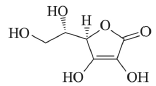
Vitamina C (ou ácido ascórbico), antitérmicos e soro fisiológico são produtos químicos utilizados como medicamentos de uso cotidiano. O ácido ascórbico é empregado na conservação de alimentos e também no combate ao escorbuto. Sua estrutura molecular é apresentada na seguinte figura.
Alguns medicamentos analgésicos que também são antitérmicos têm como princípios ativos o ácido acetilsalicílico e a cafeína. Apesar de esses dois princípios ativos apresentarem bandas sobrepostas nos espectros de emissão e excitação, sua análise quantitativa em fármacos é viável por meio da regressão de mínimos quadrados parciais (PLS – Partial Least Squares). Comparado ao método quantitativo, em que os compostos são separados e pesados individualmente para a determinação do teor de cada um na amostra, o método PLS oferece economia de tempo, reagentes e recursos financeiros.
O soro fisiológico, por sua vez, é uma solução isotônica em relação aos líquidos corporais humanos, na qual o NaCl está dissolvido em água.
Considerando as informações apresentadas, julgue o item seguinte.
Os átomos de carbono do ácido ascórbico têm estrutura tetraédrica.








