Economista - 2024
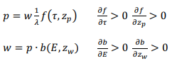
Uma economia hipotética é descrita pelas seguintes equações matemáticas, em que as primeiras derivadas das funções são positivas. Nessas equações, p é o preço, w , o salário nominal, λ , a produtividade do trabalho, , o mark-up, zp representa o conjunto de instituições existentes no mercado de bens que afetam o preço dos produtos industriais, E é a taxa de emprego, zw representa as instituições do mercado de trabalho, incluindo seguro-desemprego e proporção dos trabalhadores cobertos por acordos coletivos.

Nessa economia hipotética,
Considerando que o Banco Central decida implementar uma política monetária expansionista com o objetivo de estimular a economia, assinale a opção correta, acerca do comportamento dos principais agregados monetários.
Para proteger sua indústria doméstica contra a concorrência estrangeira, determinado país pretende implementar as seguintes medidas econômicas: tarifas de importação, subsídios às indústrias locais e adoção de cotas de importação. Considerando os possíveis efeitos das medidas econômicas apresentadas na situação hipotética acima, assinale a opção correta.
Considerando que, no modelo IS/LM, determinada economia esteja em equilíbrio, e que haja aumento dos gastos do governo, assinale a opção que descreve o efeito inicial do aumento dos gastos do governo no equilíbrio do modelo IS/LM.
No âmbito da economia ambiental, o principal objetivo dos instrumentos econômicos para proteção do meio ambiente corresponde
Acerca das teorias econômicas pertinentes ao uso dos recursos hídricos e à cobrança pelo uso da água, assinale a opção correta.
No contexto da economia ambiental, o que representa a tragédia dos comuns aplicada à gestão dos recursos naturais é
Considerando os conceitos gerais da teoria da poluição e a teoria coeaseana, assinale opção correta.
Assinale a opção que representa um incentivo fiscal para a promoção da proteção ambiental.
O método de valoração dos recursos naturais que envolve aplicar um questionário às pessoas, mostrando dois cenários diferentes, para saber se estas estão dispostas a pagar pela existência e pelos potenciais benefícios de um bem ou recurso natural, é o método de