Vade Mecum Digital 2026De R$ 249,90 por 12x R$ 9,99 ou R$ 119,90 à vista
JurisHand AI Logo

Economista - 2019


Página 2  •  Total 50 questões
132548Questão 11|Economia|superior

Um economista elaborou um modelo de séries temporais com o objetivo de prever o número de queimadas ( Yt ) em um dado município do Estado de Santa Catarina. Para um número de observações suficientemente grande para valer as propriedades assintóticas, o economista obteve o seguinte resultado ao aplicar, com sucesso, a metodologia BoxJenkins: d207c9543aad7f5776d89b788f570ba51122883de24ccee3d3ce65063e2d2aeb-11-0.jpg Analise as proposições em relação à informação. I. A série é estacionária com a raiz do polinômio característico do processo AR igual a 2. II. A série é invertível com a raiz do polinômio característico do processo MA igual a 1,5. III. E(Yt) = 120 IV. E(Yt - E(Yt))2 = 1 Assinale a alternativa correta:

  • A

    Somente as afirmativas I e II são verdadeiras.

  • B

    Somente as afirmativas I e III são verdadeiras.

  • C

    Somente as afirmativas II e III são verdadeiras.

  • D

    Somente as afirmativas I, II e III são verdadeiras.

  • E

    Somente as afirmativas I e IV são verdadeiras.

132549Questão 12|Economia|superior

Sabe-se que além de estimar os parâmetros dos modelos, uma parte importante da econometria está relacionada aos testes de hipóteses que são feitos com as estimações. Nesse contexto, o intervalo de confiança torna-se uma ferramenta importante para realizar testes de hipóteses e sair da estimativa “pontual” e entrar na estimativa de “intervalo”. Considerando os estimadores de Mínimos Quadrados Ordinários, assumindo que todas as hipóteses do Modelo Clássico de Regressão Linear são satisfeitas, para um modelo de regressão simples amostral do tipo d207c9543aad7f5776d89b788f570ba51122883de24ccee3d3ce65063e2d2aeb-12-0.jpg considere as proposições sobre o intervalo de confiança para o parâmetro d207c9543aad7f5776d89b788f570ba51122883de24ccee3d3ce65063e2d2aeb-12-1.jpg . I. Mantendo os demais fatores constantes, quanto maior a variabilidade nos valores da variável X, maior tende a ser a amplitude do intervalo de confiança. II. Mantendo os demais fatores constantes, quanto maior o nível de significância escolhido, maior tende a ser a amplitude do intervalo de confiança. III. Mantendo os demais fatores constantes, quanto maior o número de observações da amostra, menor tende a ser a amplitude do intervalo de confiança. Assinale a alternativa correta

  • A

    Somente a afirmativa III é verdadeira.

  • B

    Somente a afirmativa I é verdadeira.

  • C

    Somente a afirmativa II é verdadeira.

  • D

    Somente as afirmativas I e II são verdadeiras.

  • E

    Somente as afirmativas II e III são verdadeiras.

132550Questão 13|Finanças|superior

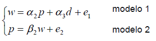
Considere por simplificação que o sistema de equações simultâneas, a seguir, é adequado para representar, sinteticamente, a espiral de preços e salários de uma economia: d207c9543aad7f5776d89b788f570ba51122883de24ccee3d3ce65063e2d2aeb-13-0.jpg onde w =variação no salário e p=variação no preço são variáveis endógenas; d=taxa de desemprego é variável exógena; e1 e e2 são erros aleatórios com média zero, variância constante, não autocorrelacionados e Cov(e1 , e2)=0. Mantendo as demais hipóteses do Modelo Clássico de Regressão linear, considerando apenas as comparações entre os estimadores de Mínimos Quadrados Ordinários (MQO), Mínimos Quadrados Indiretos (MQI), Variáveis Instrumentais (VI) e Mínimos Quadrados em 2 Estágios (MQ2E), analise as proposições e assinale (V) para verdadeira e (F) para falsa. ( ) O estimador de MQO produzirá coeficientes viesados, inconsistentes e ineficientes de d207c9543aad7f5776d89b788f570ba51122883de24ccee3d3ce65063e2d2aeb-13-1.jpg do modelo 2. ( ) Quando p e d forem independentes entre sí, o estimador de MQO produzirá um estimador eficiente do parâmetro d207c9543aad7f5776d89b788f570ba51122883de24ccee3d3ce65063e2d2aeb-13-2.jpg do modelo 1. ( ) O parâmetro d207c9543aad7f5776d89b788f570ba51122883de24ccee3d3ce65063e2d2aeb-13-3.jpg do modelo 2 poderá ser estimado de maneira consistente apenas por MQ2E já que a equação do modelo 2 é sobre-identificada. ( ) Para o modelo 2, os estimadores de MQI, VI e MQ2E produzirão os mesmos resultados para o parâmetro d207c9543aad7f5776d89b788f570ba51122883de24ccee3d3ce65063e2d2aeb-13-4.jpg quando usamos a variável d como instrumento para w. ( ) A equação do modelo 1 tem as condições necessárias e suficientes para ser exatamente identificada. Assinale a alternativa correta , de cima para baixo.

  • A

    V – V – F – V – V

  • B

    F – V – F – V – F

  • C

    V – F – F – V – F

  • D

    V – F – F – F – F E.

  • E

    F – F – V – V – V

132551Questão 14|Economia|superior

Com relação à estrutura do Balanço de Pagamentos (BPM6) analise as proposições e assinale (V) para verdadeira e (F) para falsa. ( ) A conta de Transações Correntes é composta pela Balança Comercial, Serviços, Renda Primária e Investimento Direto. ( ) Ao somar a Conta de Capital com a Conta Financeira tem-se a Conta de Renda Secundária. ( ) Não existe mais a rubrica “Erros e Omissões” no BPM6. ( ) Quando o saldo da conta de Transações Correntes é maior que o saldo da Conta de Capital, o saldo das Reservas Internacionais será Positivo. ( ) A Balança Comercial (bens) registra os saldos das contas de juros, lucros e dividendos, salários e ordenados. Assinale a alternativa correta.

  • A

    F – F – V – F – V

  • B

    F – V – F – V – F

  • C

    V – V – V – F – F

  • D

    V – V – V – V – V

  • E

    F – F – F – F – F

132552Questão 15|Economia|superior

Com relação à taxa natural de desemprego e ao trade-off entre inflação e desemprego, analise as proposições. I. Na primeira versão da Curva de Phillips os agentes econômicos tinham uma expectativa de inflação futura maior que zero (πe>0). II. A Taxa Natural de Desemprego pode ser chamada de taxa de desemprego não elevadora da inflação. III. Solow e Samuelson (1960) propuseram uma versão da Curva de Phillips Aumentada pelas Expectativas e assumiram que a expectativa de inflação futura era maior que zero (πe>0). IV. Friedman, (1968) apontou falhas na relação de Phillips, o que pode ser verificado na década de 70 em que os fixadores de salários alteram a maneira de formar suas expectativas, pois as taxas de inflação após 1960 passaram a permanecer em patamares positivos. V. Na primeira versão da Curva de Phillips os fixadores de salários tinham uma expectativa de inflação futura igual a zero (πe=0). Assinale a alternativa correta.

  • A

    Somente as afirmativas I, II e IV são verdadeiras.

  • B

    Somente as afirmativas II, IV e V são verdadeiras.

  • C

    Somente as afirmativas I, III e IV são verdadeiras.

  • D

    Somente as afirmativas II, III e V são verdadeiras.

  • E

    Somente a afirmativa I é verdadeira

132553Questão 16|Conhecimentos Bancários|superior

Imagine por simplicidade uma economia formada por um Banco Central, um Banco Comercial, famílias e mercado. Essa economia segue as mesmas regras do sistema monetário e financeiro Brasileiro. Sabe-se que essa economia hipotética tem a quantidade de produto e meios de pagamentos em equilíbrio. O público mantém 50% dos meios de pagamento na forma de Papel Moeda e 50% na forma de Depósitos à vista; o Banco Comercial mantém 60% dos depósitos a vista na forma de reservas bancárias. Analise as proposições com relação ao processo de criação de moeda escritural, caso o Banco Central aumente a base monetária em 100,00pormeiodacompradetıˊtulospuˊblicosdepossedoBancoComercial(considereapenasosvaloresgeradosnesseprocesso).I.Aofinaldoprocesso,avariac\ca~onoPapelMoedaemPoderdoPuˊblico(PPMP)seraˊde100,00 por meio da compra de títulos públicos de posse do Banco Comercial (considere apenas os valores gerados nesse processo). I. Ao final do processo, a variação no Papel Moeda em Poder do Público (PPMP) será de 100. II. Ao final do processo, a variação nos depósitos à vista será de 75III.Aofinaldoprocesso,avariac\ca~onasreservasbancaˊriasseraˊde75 III. Ao final do processo, a variação nas reservas bancárias será de 25. IV. Ao final do processo, a variação nos meios de pagamentos será de $$125,00. V. O efeito multiplicador da base monetária é de 1,25. Assinale a alternativa correta.

  • A

    Somente as afirmativas I e IV são verdadeiras.

  • B

    Somente as afirmativas II e V são verdadeiras.

  • C

    Somente as afirmativas II e III são verdadeiras.

  • D

    Somente as afirmativas IV e V são verdadeiras.

  • E

    Somente as afirmativas III e IV são verdadeiras.

132554Questão 17|Economia|superior

Ao longo dos anos, eventualmente, a Epagri elabora uma análise do mercado de Pinhão, em Santa Catarina. A Demanda pelo produto depende de diversos fatores, tais como a renda das famílias, a vinda de turistas para o Estado, gostos, expectativas, entre outros. Pelo lado da oferta, o clima é a variável mais relevante, pois influencia diretamente na produtividade das araucárias. Em relação ao que acontece com as variações do Preço de equilíbrio e da Quantidade de equilíbrio deste mercado, elabora-se no Quadro um conjunto de cenários possíveis: d207c9543aad7f5776d89b788f570ba51122883de24ccee3d3ce65063e2d2aeb-17-0.jpg Em relação ao Quadro, considere as proposições acerca do preço (de equilíbrio) e da quantidade (de equilíbrio), sabendo que a demanda e a oferta não são, perfeitamente, elásticas nem, perfeitamente, inelásticas. I. No cenário A existe uma incerteza quanto à tendência do preço e no cenário B existe uma incerteza quanto à tendência da quantidade. II. No cenário B existe uma incerteza quanto à tendência do preço e no cenário C a quantidade diminui. III. No cenário C o preço diminui e no cenário D a quantidade diminui. IV. No cenário A o preço aumenta e no cenário D a quantidade aumenta. V. No cenário B o preço diminui e no cenário D a quantidade aumenta. Assinale a alternativa correta.

  • A

    Somente as afirmativas I e IV são verdadeiras.

  • B

    Somente as afirmativas III e IV são verdadeiras.

  • C

    Somente as afirmativas I e V são verdadeiras.

  • D

    Somente as afirmativas I e III são verdadeiras.

  • E

    Somente as afirmativas II e V são verdadeiras.

132555Questão 18|Economia|superior

A Alimenthus Ltda, pequena empresa familiar, higieniza, seleciona e embala alimentos in natura para supermercados, objetivando diminuir o desperdício de frutas e verduras. Em determinado tempo decidiu sofisticar a sua produção, incluindo produtos orgânicos no seu roll. Ao juntar a produção dos dois tipos de alimentos (tradicionais e orgânicos) nas mesmas instalações de suas atividades, a empresa identificou que seus custos totais médios ficaram menores do que quando produzia apenas produtos tradicionais. Quando estava planejando suas próximas ações, estimou que ao considerar o horizonte de longo prazo, se aumentasse a produção dos produtos orgânicos perderia os ganhos de eficiência, devido ao alto custo da mão de obra especializada. Em relação à informação, a Alimenthus Ltda apresenta:

  • A

    economias de escopo no curto prazo e retornos decrescentes de escala no longo prazo.

  • B

    retornos constantes de escala no curto prazo e deseconomias de escopo no longo prazo.

  • C

    economias de escala no curto prazo e retornos constantes de escopo no longo prazo.

  • D

    produto marginal decrescente de escala no curto prazo, e nada se pode afirmar sobre a ocorrência de economias de escopo no longo prazo.

  • E

    deseconomias de escopo no longo prazo, e economias de escala no longo prazo.

132556Questão 19|Finanças|superior

Um empreendedor resolve atuar na área de maricultura, para tanto abdica de trabalhar na sua profissão de consultor na referida área, a qual lhe rende em média R$ 10.000,00 por mês. Para realizar o investimento (aquisição das instalações e bens de capital) utiliza toda a sua poupança de R$ 400.000,00, a qual estava alocada em aplicação em títulos de renda fixa livres de risco e que rendiam juros de 1% a.m.. Ao terminar de construir a sede da empresa e instalar os bens de capital, contrata 10 empregados com o salário total por trabalhador (incluindo encargos) de R$ 2.000,00. A administração do negócio será feita pelo empreendedor e por este trabalho receberá um pró-labore de R$ 10.000,00 por mês. Os dispêndios fixos somados de serviços terceirizados (contabilidade, segurança e limpeza) totalizam em R$ 5.000,00 por mês; os custos totais médios são de R$ 1.000,00 por tonelada produzida para a escala eficiente de 10 toneladas. Ao analisar a questão, considere: I. Somente as informações acima descritas; II. O ambiente é livre de inflação; III. Que se trata de análise de curto prazo; IV. Que as variáveis econômicas têm comportamento típico; V. Que o mercado é perfeitamente competitivo; VI. Que toda a produção gera receita. Analise as proposições em relação à informação e assinale (V) para verdadeira e (F) para falsa. ( ) O Custo Implícito desse investimento é de R$ 10.000,00 por mês. ( ) O Custo Marginal, na escala eficiente, é de R$ 1.000,00 por tonelada produzida. ( ) Considerando que a firma está produzindo a quantidade da escala eficiente com os 10 funcionários, e que para aumentar a produção precisa contratar mais um trabalhador, espera-se que a contratação de um 11º empregado gere uma deseconomia de escala. ( ) Para um nível de produção abaixo de 10 toneladas o Custo Marginal é maior que o Custo Total Médio. ( ) O preço que maximiza o Lucro Econômico de curto prazo, na escala eficiente, seria de R$ 1.000,00 por tonelada. Assinale a alternativa correta, de cima para baixo.

  • A

    F – F – F – V – V

  • B

    F – V – V – V – F

  • C

    F – V – V – F – V

  • D

    F – V – F – F – V

  • E

    V – F – V – F – F

132557Questão 20|Finanças|superior

Sobre a relação entre produtores de mel e de frutas no estado de Santa Catarina, o jornal G1 publicou a seguinte matéria, resumidamente, descrita: “Toda maçã que é produzida em SC, é uma das melhores do País, se consegue graças à polinização. Além da maçã, as abelhas também ajudam nas produções de pêssego, ameixa, kiwi e outras frutas." - Ênio Frederico Cesconetto, presidente da FAASC [...] A importância das abelhas em Santa Catarina vai além da produção de mel, que hoje ocupa a 21ª posição no que diz respeito à receita gerada para o Estado no setor agropecuário. A polinização de outras culturas traz riquezas ainda maiores. Elas garantem a continuidade das safras nos 20 mil hectares de maçãs, por exemplo. São R$ 70,00 por colmeia ao mês que os apicultores recebem por alugar suas abelhas. Um ganho para eles, para o Estado e, também, para a natureza. Fonte: G1 em https://glo.bo/32TKxXm Analise as proposições em relação à informação e assinale (V) para verdadeira e (F) para falsa. ( ) Na perspectiva de Coase as externalidades entre os produtores de mel e os produtores de culturas polinizadas irão persistir apenas se os custos de transação forem altos. ( ) Como há externalidades, o resultado desses mercados livres e competitivos do mel e das culturas polinizadas deverá ser eficiente no sentido de Pareto. ( ) Uma possível solução para a eliminação de externalidades negativas entre produtores de mel e produtores de maçãs, caso existissem e fossem conhecidas, seria a implementação de uma Taxa ou Imposto Pigouviano sobre o agente causador. ( ) No caso de um pomar de propriedade privada haveria o risco da Tragédia do Bem Comum ou Tragédia do Uso Comum. ( ) Considere a possibilidade de que um produtor industrial adjacente, emissor de poluição, interfira, negativamente, na produção de mel e de maçãs. Nesse caso ter-se-á um nível ótimo de poluição, se o custo marginal de redução da mesma for igual ao benefício marginal que os produtores de mel e de maçãs terão com a referida redução da poluição. Assinale a alternativa correta, de cima para baixo.

  • A

    F – F – F – V – V

  • B

    F – V – V – V – F

  • C

    F – V – F – F – V

  • D

    V – F – V – F – F

  • E

    V – F – V – F – V