Papiloscopista Policial Federal - 2018
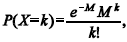
Considerando que a tabela precedente mostra as realizações da variável aleatória X em uma amostra aleatória simples constituída por cinco dias, julgue o item que segue.
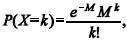
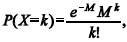
A estimativa de máxima verossimilhança do desvio padrão da distribuição da variável X é igual a 2 registros por dia.
Considerando que a tabela precedente mostra as realizações da variável aleatória X em uma amostra aleatória simples constituída por cinco dias, julgue o item que segue.
Como a tabela não contempla uma realização do evento X = 7, é correto afirmar que P(X = 7) = 0.
Considerando que a tabela precedente mostra as realizações da variável aleatória X em uma amostra aleatória simples constituída por cinco dias, julgue o item que segue.
Com base no critério de mínimos quadrados ordinários, estima-se que o parâmetro M seja igual a 4 registros por dia.
O intervalo de tempo entre a morte de uma vítima até que ela seja encontrada (y em horas) denomina-se intervalo post mortem. Um grupo de pesquisadores mostrou que esse tempo se relaciona com a concentração molar de potássio encontrada na vítima (x, em mmol/dm3 ). Esses pesquisadores consideraram um modelo de regressão linear simples na forma y = ax + b + ε, em que a representa o coeficiente angular, b denomina-se intercepto, e ε denota um erro aleatório que segue distribuição normal com média zero e desvio padrão igual a 4.
As estimativas dos coeficientes a e b, obtidas pelo método dos mínimos quadrados ordinários foram, respectivamente, iguais a 2,5 e 10. O tamanho da amostra para a obtenção desses resultados foi n = 101. A média amostral e o desvio padrão amostral da variável x foram, respectivamente, iguais a 9 mmol/dm3 e 1,6 mmol/dm3 e o desvio padrão da variável y foi igual a 5 horas.
A respeito dessa situação hipotética, julgue o item a seguir.
A média amostral da variável resposta y foi superior a 30 horas.
O intervalo de tempo entre a morte de uma vítima até que ela seja encontrada (y em horas) denomina-se intervalo post mortem. Um grupo de pesquisadores mostrou que esse tempo se relaciona com a concentração molar de potássio encontrada na vítima (x, em mmol/dm3 ). Esses pesquisadores consideraram um modelo de regressão linear simples na forma y = ax + b + ε, em que a representa o coeficiente angular, b denomina-se intercepto, e ε denota um erro aleatório que segue distribuição normal com média zero e desvio padrão igual a 4.
As estimativas dos coeficientes a e b, obtidas pelo método dos mínimos quadrados ordinários foram, respectivamente, iguais a 2,5 e 10. O tamanho da amostra para a obtenção desses resultados foi n = 101. A média amostral e o desvio padrão amostral da variável x foram, respectivamente, iguais a 9 mmol/dm3 e 1,6 mmol/dm3 e o desvio padrão da variável y foi igual a 5 horas.
A respeito dessa situação hipotética, julgue o item a seguir.
O coeficiente de explicação do modelo (R2 ) foi superior a 0,70.
O intervalo de tempo entre a morte de uma vítima até que ela seja encontrada (y em horas) denomina-se intervalo post mortem. Um grupo de pesquisadores mostrou que esse tempo se relaciona com a concentração molar de potássio encontrada na vítima (x, em mmol/dm3 ). Esses pesquisadores consideraram um modelo de regressão linear simples na forma y = ax + b + ε, em que a representa o coeficiente angular, b denomina-se intercepto, e ε denota um erro aleatório que segue distribuição normal com média zero e desvio padrão igual a 4.
As estimativas dos coeficientes a e b, obtidas pelo método dos mínimos quadrados ordinários foram, respectivamente, iguais a 2,5 e 10. O tamanho da amostra para a obtenção desses resultados foi n = 101. A média amostral e o desvio padrão amostral da variável x foram, respectivamente, iguais a 9 mmol/dm3 e 1,6 mmol/dm3 e o desvio padrão da variável y foi igual a 5 horas.
A respeito dessa situação hipotética, julgue o item a seguir.
O erro padrão associado à estimação do coeficiente angular foi superior a 0,30.
O intervalo de tempo entre a morte de uma vítima até que ela seja encontrada (y em horas) denomina-se intervalo post mortem. Um grupo de pesquisadores mostrou que esse tempo se relaciona com a concentração molar de potássio encontrada na vítima (x, em mmol/dm3 ). Esses pesquisadores consideraram um modelo de regressão linear simples na forma y = ax + b + ε, em que a representa o coeficiente angular, b denomina-se intercepto, e ε denota um erro aleatório que segue distribuição normal com média zero e desvio padrão igual a 4.
As estimativas dos coeficientes a e b, obtidas pelo método dos mínimos quadrados ordinários foram, respectivamente, iguais a 2,5 e 10. O tamanho da amostra para a obtenção desses resultados foi n = 101. A média amostral e o desvio padrão amostral da variável x foram, respectivamente, iguais a 9 mmol/dm3 e 1,6 mmol/dm3 e o desvio padrão da variável y foi igual a 5 horas.
A respeito dessa situação hipotética, julgue o item a seguir.
De acordo com o modelo ajustado, caso a concentração molar de potássio encontrada em uma vítima seja igual a 2 mmol/dm3 , o valor predito correspondente do intervalo post mortem será igual a 15 horas.
De acordo com uma agência internacional de combate ao tráfico de drogas, o volume diário de cocaína líquida (X, em litros) apreendida por seus agentes segue uma distribuição normal com média igual a 50 L e desvio padrão igual a 10 L.
A partir dessas informações e considerando que Z representa uma distribuição normal padrão, em que P(Z ≤ -2) = 0,025, julgue os itens subsecutivos.
P(X > 70 litros) = 0,05.
De acordo com uma agência internacional de combate ao tráfico de drogas, o volume diário de cocaína líquida (X, em litros) apreendida por seus agentes segue uma distribuição normal com média igual a 50 L e desvio padrão igual a 10 L.
A partir dessas informações e considerando que Z representa uma distribuição normal padrão, em que P(Z ≤ -2) = 0,025, julgue os itens subsecutivos.
P(X < 60 litros) = P(X ≥ 40 litros).
De acordo com uma agência internacional de combate ao tráfico de drogas, o volume diário de cocaína líquida (X, em litros) apreendida por seus agentes segue uma distribuição normal com média igual a 50 L e desvio padrão igual a 10 L.
A partir dessas informações e considerando que Z representa uma distribuição normal padrão, em que P(Z ≤ -2) = 0,025, julgue os itens subsecutivos.
O valor mais provável para a realização da variável X é 50 litros, de modo que P(X = 50 litros) > P(X = 30 litros).





