Perito Criminal - Cargo 2 - 2013
Sistemas de comunicação modernos utilizam, cada vez mais, técnicas de transmissão digital, incluindo códigos corretores de erro e codificação de linha ou modulação digital. A respeito desse assunto, julgue o item que se segue. Uma vantagem da codificação de linha polar com utilização de codificação de Manchester é que essa codificação não possui componente DC.
Sistemas de comunicação modernos utilizam, cada vez mais, técnicas de transmissão digital, incluindo códigos corretores de erro e codificação de linha ou modulação digital. A respeito desse assunto, julgue o item que se segue. Se um sinal digital for codificado com um código de bloco de taxa R = 3/4 e transmitido sob modulação 16-QAM com emprego de pulsos de Nyquist e fator de roll-off igual a 0,25 em um canal com largura de banda de 500 kHz, sua taxa de bits será de 2,4 Mbps.
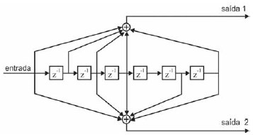
Sistemas de comunicação modernos utilizam, cada vez mais, técnicas de transmissão digital, incluindo códigos corretores de erro e codificação de linha ou modulação digital. A respeito desse assunto, julgue o item que se segue.
O código convolucional executado pelo codificador mostrado na figura abaixo, em que z -1 é um atraso discreto no tempo, tem taxa R = 1/2 e pode ser representado por uma treliça de 128 estados.

Com relação a sistemas de telefonia digital, julgue o item subsequente. Sinais de telefonia digital são usualmente multiplexados em sistemas SDH ( synchronous digital hierarchy ). A unidade básica desses sistemas é o E1, que corresponde a 24 canais de 64 kbps, dos quais dois canais são utilizados para sinalização e 22 canais são disponibilizados para tráfego de voz.
Com relação a sistemas de telefonia digital, julgue o item subsequente. As redes de telefonia modernas estão migrando em grande parte para a tecnologia VoIP, em que é empregada comutação por circuitos, diferentemente das redes PSTN ( public switched telephone network ) tradicionais, que empregam comutação por pacotes.
Com relação a sistemas de telefonia digital, julgue o item subsequente. Em uma rede de telefonia, a conversão entre os sinais de redes diferentes, como PSTN, VoIP e celular, é feita por equipamentos conhecidos como MGW ( media gateway ).
Com relação a sistemas de telefonia digital, julgue o item subsequente. Considere um sinal de voz com largura de banda igual a 3,2 kHz digitalizado por um esquema PCM ( pulse code modulation ), com uma taxa de amostragem 25% maior que a taxa de amostragem de Nyquist. Considerando, ainda, que se disponha de um canal de transmissão digital com taxa de 128 kbps, será possível quantizar o sinal com 16 bits por amostra.
A propósito de sistemas de telefonia celular de segunda e terceira geração, julgue o item subsecutivo. Em uma única portadora GSM, podem ser multiplexados os sinais de voz de até 16 usuários diferentes.
A propósito de sistemas de telefonia celular de segunda e terceira geração, julgue o item subsecutivo. Nos sistemas UMTS de terceira geração, a camada física UTRA ( UMTS Terrestrial Radio Access ) utiliza sempre canais com 5 MHz de largura de banda com duplexação FDD ( frequency division duplexing ).
A propósito de sistemas de telefonia celular de segunda e terceira geração, julgue o item subsecutivo. A técnica de salto em frequências é amplamente utilizada em redes GSM e provê aumento de cobertura por meio de diversidade de frequência e aumento de capacidade mediante a diversidade de interferência.