Analista Judiciário - Engenharia Civil - 2024
A figura a seguir apresenta a seção transversal de um pavimento flexível.
Para uma das camadas desse pavimento, um engenheiro especifica material com as seguintes características:
• Limite de liquidez = 20%;
• Índice de plasticidade = 5%;
• CBR = 80% e expansão = 0,4% (medida com sobrecarga de 10lb).
As propriedades indicadas se aproximam dos valores-limite requeridos para compor o material da camada
O Sistema de Registro de Preços (SRP) é o conjunto de procedimentos para registro formal de preços relativos à prestação de serviços e aquisição de bens, para contratações futuras.
Considerando o exposto na Lei nº 14.133/2021, pode-se realizar licitação para registro de preços apenas na(s) modalidade(s)
A figura a seguir ilustra o sistema de drenagem de uma rodovia.
[4adfc0ed520f9f57b3a3f0a495ef5b8a09b2c406283714819f77e0f75c5a8194-23-0..gif]
Os elementos indicados com os números 1, 2 e 3 são conhecidos, respectivamente, como
A Lei nº 14.133/2021 prevê diferentes modalidades de licitação para aquisição de bens e/ou serviços por parte da Administração Pública.
Entre essas modalidades, o pregão pode ter como critério de julgamento
Deve-se realizar uma fundação em baldrame, de altura 50cm e espessura de 40cm, que circundará, internamente, todo o perímetro de uma construção retangular, de dimensões 5m x 3m. Listam-se, a seguir, as características técnicas e econômicas dessa fundação:
– taxa de armadura: 60 kg/m3 . – preço de aluguel de forma: R$15,00/m2 . – mão de obra para realização da fundação: R$200,00/m2 de fundação (em planta). – preço do aço (fornecimento, corte, dobramento): R$8,00/kg. – preço de concreto: R$300,00/m3 .
O custo de material e mão de obra para realização dessa fundação é de
De acordo com a Lei nº 14.133/2021, a habilitação é a fase da licitação em que se verifica o conjunto de informações e documentos necessários e suficientes para demonstrar a capacidade do licitante de realizar o objeto da licitação.
Sobre essa fase, analise as afirmativas a seguir.
I. Após a entrega dos documentos para habilitação, não será permitida, sob qualquer hipótese, a substituição ou a apresentação de novos documentos.
II. Um dos requisitos para comprovar qualificação técnico-profissional (ou operacional) é a indicação do pessoal técnico, das instalações e do aparelhamento adequados e disponíveis para a realização do objeto da licitação, bem como da qualificação de cada membro da equipe técnica que se responsabilizará pelos trabalhos.
III. A habilitação jurídica visa a demonstrar a capacidade de o licitante exercer direitos e assumir obrigações, e a documentação a ser apresentada por ele limita-se à comprovação de existência jurídica da pessoa e, quando cabível, de autorização para o exercício da atividade a ser contratada.
Está correto o que se afirma em
Apresentam-se, a seguir, algumas etapas do estágio de concepção e viabilidade do projeto de uma obra, em ordem cronológica.
I. Definição do escopo da obra;
II. Estimativa de custos;
III. Identificação da fonte orçamentária;
IV. Elaboração do anteprojeto.
A localização, no tempo, da etapa de estudo de viabilidade econômica do projeto é
A água é um dos elementos constituintes de um solo. Relacione as classificações a seguir para três das diferentes formas em que a água pode se apresentar no solo, com suas respectivas definições.
- adsorvida 2. capilar 3. higroscópica
( ) água que sobe pelos interstícios deixados pelas partículas sólidas. ( ) película de água que envolve e adere fortemente aos grãos. ( ) água que ainda se encontra em um solo seco, ao ar livre.
A sequência dessas classificações, na ordem apresentada, é
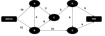
Segundo o Sistema de Custos Rodoviários do DNIT (SICRO0), a duração total do ciclo de um equipamento corresponde ao tempo

