Vade Mecum Digital 2026De R$ 249,90 por 12x R$ 9,99 ou R$ 119,90 à vista
JurisHand AI Logo

Economista - 2014


Página 8  •  Total 80 questões
135840Questão 71|Contabilidade|superior
2014
IDECAN

Uma pessoa deseja analisar a capacidade de pagamento de uma empresa através de suas demonstrações contábeis. Assinale a alternativa que indica o melhor grupo de indicadores de análise para medir a capacidade de pagamento de uma empresa.

  • A

    De liquidez.

  • B

    De lucratividade.

  • C

    De rentabilidade.

  • D

    De endividamento.

  • E

    De fluxos de caixa.

135841Questão 72|Contabilidade|superior
2014
IDECAN

A empresa X apresentou o seguinte demonstrativo ao final do exercício:

Ativo Circulante 200.000,00 Passivo Circulante 120.000,00 Estoque 60.000,00 Custo das Mercadorias Vendidas 300.000,00

"Com base nas informações anteriores, é correto afirmar que o capital de giro é ________________ e o giro de estoque é ________ ." Assinale a alternativa que completa correta e sequencialmente a afirmativa anterior.

  • A

    80.000,00 / 3

  • B

    80.000,00 / 5

  • C

    100.000,00/5

  • D

    140.000,00 / 2

  • E

    200.000,00 / 4

135842Questão 73|Contabilidade|superior
2014
IDECAN

Uma empresa produz e vende exclusivamente o produto x, cujo preço unitário é de R$ 200,00. Cada unidade de x tem custo variável de R$ 120,00. Ademais, a empresa paga comissão de venda de 5% da receita bruta. No ano de 2013, a empresa produziu e vendeu 200 unidades de x a um custo total de R$ 40.000,00. O valor da receita de vendas que a empresa precisa auferir, mensalmente, para funcionar no Ponto de Equilíbrio Contábil é de

  • A

    R$ 24.800,00.

  • B

    R$ 40.000,00.

  • C

    R$ 45.800,00.

  • D

    R$ 100.000,00.

  • E

    R$ 114.400,00.

135843Questão 74|Contabilidade|superior
2014
IDECAN

Na base do imposto de renda, há despesas que são dedutíveis e despesas que são não dedutíveis. Assinale a alternativa que representa uma despesa NAO dedutível na base do imposto de renda no momento do reconhecimento contábil.

  • A

    Provisão de férias.

  • B

    Provisão de 13º salário.

  • C

    Despesa com depreciação.

  • D

    Provisão para créditos de liquidação duvidosa.

  • E

    Doações a projetos enquadrados na Lei Rouanet .

135844Questão 75|Economia|superior
2014
IDECAN

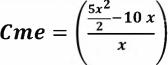
Um empresário monopolista contratou seus serviços profissionais de economista para lhe auxiliar no cálculo de maximização de seus lucros. Após levantamentos junto à empresa, foi constatado que o preço da mercadoria analisada é de R$ 40,00 e seu custo médio ( Cme ) é estimado em 16930109ef20a3c6bab86038510ae6c65c84da7f3dc8bbea08cec5d6b1e5e085-75-0..jpg . De Posse das informações fornecidas, assinale a alternativa que enxota o valor, em reais, do custo total da empresa quando ocorre seu lucro máximo.

  • A

    R$ 150,00.

  • B

    R$ 160,00.

  • C

    R$ 180,00.

  • D

    R$ 190,00.

  • E

    R$ 200,00.

135845Questão anuladaAnuladaQuestão 76|Matemática e Estatística|superior
2014
IDECAN

Considere a série temporal dos saldos líquidos de caixa, representados por SCX e dos anos efetivamente transcorridos (n) entre o investimento (I) e fim de um projeto de investimento como:

N(ano) SCX ( em milhões de R$) 0 - 5 1 3 2 4

Assinale, a seguir, o valor da taxa interna que retorna esse investimento.

  • A

    R$ 150,00.

  • B

    R$ 160,00.

  • C

    R$ 180,00.

  • D

    R$ 190,00.

  • E

    R$ 200,00.

135846Questão 77|Economia|superior
2014
IDECAN

A contabilidade social é a principal ferramenta governamental para se mensurar e planificar a política econômica de um país. Além disso, é através de suas mensurações que se registram, historicamente, os dados econômicos num determinado período de tempo. Diante do exposto, marque V para as afirmativas verdadeiras e F para as falsas.

( ) A contabilidade nacional envolve uma metodologia de cálculo dos principais agregados macroeconômicos nacionais, tendo como objetivo quantificá-los para o direcionamento da política econômica para o desenvolvimento, a estabilização dos preços e de crescimento dos países. São considerados os agregados macroeconômicos ao longo de determinado período de tempo: poupança, investimento, produto interno, salários, tributos, exportações e importações. ( ) Os agregados macroeconômicos básicos quantificados em termos econômicos nos países são: produto, renda, consumo, poupança, investimento, absorção interna e despesa. ( ) O valor das despesas nacionais de um país é correspondente ao somatório do investimento mais a poupança. ( ) A formação bruta de capital fixo é obtida, em uma economia aberta, através do somatório dos agregados econômi­cos: poupança privada (poupança das famílias, depreciação e lucros retidos), poupança pública e déficit em conta corrente do balanço de pagamentos menos a variação de estoques. ( ) As transferências intragovernamentais são as realizadas entre órgãos de esferas diferentes de governo como, por exemplo, a quota-parte do ICMS, enquanto que as transferências intergovernamentais são as realizadas entre os órgãos da mesma esfera de governo como, por exemplo, as ocorridas entre o Tesouro Nacional e o Ministério da Previdência Social (MPS).

A seqüência está correta em

  • A

    V, V, F, V, F.

  • B

    V, F, F, V, F.

  • C

    F, V, F, V, F.

  • D

    F, F, V, V, F.

  • E

    V, V, F, V, V.

135847Questão 78|Economia|superior
2014
IDECAN

O Plano Real, concebido em 1993, implementado durante o governo do presidente Itamar Franco, pelo então ministro Fernando Henrique Cardoso, foi exitoso em lograr estabilizar a economia brasileira, que já havia experimentado um processo de abertura comercial, de renegociação da dívida externa e desregulamentação do mercado. Dentre as afirma­tivas abaixo, assinale a que NÃO corresponde ao interstício fato econômico ocorrido e espação temporal.

  • A

    A primeira etapa do Plano Real foi implantada com a aplicação do Plano de Ação Imediata (PAI), em 14 de junho de 1993.

  • B

    A unidade de referência de valor, conhecida como URV, foi implementada em 27 de maio de 1994, durante a segunda fase do Plano Real.

  • C

    A nova moeda, conhecida como Real, foi oficializada como moeda de consenso na sociedade brasileira ainda durante a segunda fase do Plano Real, a partir de primeiro de julho de 1994, mediante a edição da medida provisória, conhecida como a do Plano Real.

  • D

    Em janeiro de 1999, não resistindo a pressões do mercado, o Real foi desvalorizado. O agravamento do déficit nas contas públicas, pelo efeito da desvalorização e do aumento dos juros, agravou a perspectiva de uma recessão no ano e da deterioração dos indicadores socioeconômicos e escalada de desemprego.

  • E

    Em 1997, diante da crise asiática, a vulnerabilidade da economia brasileira tornou-se mais evidente. Com um déficit em contas correntes de US$ 33,4 bilhões, equivalente a 4,20% do PIB brasileiro, o governo foi novamente obrigado a adotar medidas de contenção do nível de atividades para evitar o descontrole externo.

135848Questão 79|Matemática e Estatística|superior
2014
IDECAN

Um determinado economista fora incitado profissionalmente a realizar um cálculo que envolve o custo efetivo total (CET) de uma operação de crédito ocorrida em um contrato de financiamento entre um órgão público hipotético e o Banco Nacional de Desenvolvimento Econômico e Social (BNDES). A seguir, são apresentados os dados extraídos do contrato firmado entre as partes:

Valor bruto da operação financeira: R$ 230 milhões ; • Imposto sobre operações financeiras: R$ 0,943 em milhões ; • Taxa de juros remuneratórios: 1% ao mês (incidentes sobre o valor da operação financeira);Prazo da operação: 3 meses exatos decorridos dessa data até o vencimento efetivo.Tarifas diversas: R$ 0,005 em milhões .

De posse das informações fornecidas, assinale a alternativa que representa o valor do custo efetivo total (CET) no período contratual de três meses dessa operação de crédito.

  • A

    3,41%.

  • B

    3,51%.

  • C

    3,61%.

  • D

    3,71%.

  • E

    3,81%.

135849Questão desatualizadaDesatualizadaQuestão 80|Administração Pública|superior
2014
IDECAN

O Decreto nº 8.088, de 2 de setembro de 2013, elenca como competências da Secretaria de Portos da Presidência da República (SEP/PR) assessorar direta e imediatamente o Presidente da República na formulação de políticas e diretrizes para o desenvolvimento e o fomento do setor de portos e instalações portuárias marítimos, fluviais e lacustres e, especialmente, promover a execução e a avaliação de medidas, programas e projetos de apoio ao desenvolvimento da infraestrutura e da superestrutura dos portos e instalações portuárias marítimos, fluviais e lacustres. Ainda, com relação às competências da Pasta previstas no referido diploma legal, é INCORRETO afirmar que

  • A

    incumbe à SEP/PR participar do planejamento estratégico, estabelecer diretrizes para sua implementação e definir as prioridades dos programas de investimentos, bem como elaborar planos gerais de outorgas.

  • B

    quando o Brasil se fizer representado nos organismos internacionais ou em convenções, acordos e tratados referentes às competências no enunciado anterior, cabe à Secretaria de Portos estabelecer as diretrizes para tal representação.

  • C

    por meio da integração das políticas portuárias a políticas locais, regionais e nacionais de desenvolvimento social, econômico e ambiental, deve a SEP/PR promover a modernização, a eficiência, a competitividade e a qualidade das atividades portuárias.

  • D

    as companhias docas vinculadas à Secretaria têm autonomia para fixar compromissos de metas e de desempenho empresarial, todavia, é de competência da Pasta a supervisão de tais órgãos, mediante orientação, coordenação e controle de suas atividades.

  • E

    insere-se na esfera de competências da Secretaria desenvolver a infraestrutura e a superestrutura aquaviária dos portos e instalações portuárias sob sua esfera de atuação, com a finalidade de promover a segurança e a eficiência do transporte aquaviário de cargas e de passageiros.

Economista - 2014 | Prova